HemaBook Bab 8: Apakah Anda Memperhatikan Perubahan Jumlah Sel Darah Merah pada COVID-19?

Mindray 2021-05-25

gln22-s0@pc

Pada tanggal 26 Januari 2021, pandemi penyakit coronavirus 2019 (COVID-19) telah memengaruhi lebih dari 100 juta orang di seluruh dunia. Vaksinasi akan membantu memperbaiki situasi yang kita hadapi di masa depan. Namun, saat ini, mengidentifikasi pasien yang sangat berisiko mengalami penyakit parah sangatlah penting. Untuk memfasilitasi intervensi awal dan mengelola sumber daya rumah sakit setempat dalam memitigasi krisis perawatan kritis, para dokter melakukan penelitian terhadap parameter rutin, berbiaya rendah, dan sugestif untuk membantu prognosis COVID-19 dan mengidentifikasi kasus yang parah[1,2,3].

gln22-s2
Gambar 1. Aplikasi uji darah rutin.

Parameter inflamasi, seperti jumlah sel darah putih (WBC), jumlah neutrofil, rasio neutrofil dengan limfosit (NLR) bisa mendukung diagnosis dan prognosis COVID-19. Bagaimana dengan sel darah merah?

 

Perubahan eritrosit yang teramati pada pasien yang sakit kritis

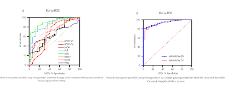
Dr. Wang membandingkan hasil hematologi dari kelompok hasil uji yang baik dan buruk, dan menemukan bahwa parameter tunggal terbaik untuk memprediksi prognosis pasien yang parah adalah RDW-SD[4,7]. Selain itu, parameter gabungan Lym# & RDW-CV serta Lym# & RDW-SD lebih baik digunakan untuk memprediksi prognosis COVID-19 yang parah (Gambar 2)[7].

gln22-s3-1

(A)Kurva ROC, parameter tunggal untuk memprediksi prognosis pasien yang sakit; (B)kurva ROC, parameter gabungan untuk memprediksi prognosis pasien yang sakit;

gln22-s3-2

(C) the linearly fitted schematic scatter plot for Lym# & RDW-SD; (D) comparison of Lym# & RDW-SD in ill patients with different prognoses.

Gambar 2. Analisis prediksi parameter hematologi dan hasil pasien dengan COVID-19 yang parah.Lym# & RDW-SD: parameter gabungan yang dihasilkan setelah penyesuaian linier Lym# & RDW-SD. ****,P<0.0001.

 

Dr. Zhang menemukan bahwa HGB bersifat lebih rendah pada kelompok dengan tingkat penyakit yang parah, dibandingkan dengan kelompok dengan tingkat penyakit yang sedang[5]. Parameter gabungan baru Lym% & HGB memiliki tingkat sensitivitas dan spesifisitas terbaik (Tabel1). Jadi Lym% & HGB bisa digunakan sebagai indikator prognosis penyakit.

 

Tabel 1. Hasil analisis karakteristik operasi penerima untuk ketiga parameter terkait

gln22-s3-3

AUC, area di bawah ROC; Lym%, persentase limfosit; HGB, hemoglobin.

 

Artikel lainnya dari Dr. Wang[6] menjelaskan bahwa banyak parameter hematologi yang berubah seiring dengan perkembangan penyakit, termasuk NLR, RDW-CV, RDW-SD. Parameter gabungan NLR & RDW-SD, yang dihasilkan oleh penyesuaian linier, memiliki efisiensi diagnostik yang lebih baik (AUC = 0,938), yang terbaik di antara parameter tunggal (Gambar 3). Ketika nilai batasannya adalah 1,046, maka sensitivitas untuk membedakan kasus COVID-19 yang parah dan sedang adalah 90,0% sedangkan spesifisitasnya adalah 84,7%.

gln22-s4-1
gln22-s4-2
gln22-s4-3-1

Gambar 3. Analisis ROC menggunakan parameter tunggal dan gabungan dalam diagnosis kasus COVID-19 yang parah. “*” Berarti deviasi yang signifikan.

Mengapa perubahan eritrosit ini terjadi pada pasien yang sakit kritis?

Ditemukan bahwa peningkatan RET bisa berkontribusi pada peningkatan RDW (Gambar 4). Seiring dengan perkembangan penyakit, MFR dan HFR meningkat, begitu pula dengan RDW-SD. Peningkatan RET dalam darah perifer bisa menyebabkan peningkatan anisositosis.

gln22-s5
Gambar 4. Pemantauan dinamis dari diagram sebaran RET dalam kasus COVID-19 yang kritis. Diagram sebaran RET berasal dari Mindray BC-6800Plus.
gln22-s5-1

Bagaimana kita bisa mengamati perubahan eritrosit ini dalam penganalisis hematologi?

Ketika melihat diagram sebaran 9 persegi, diagram sebaran volume RBC/konsentrasi hemoglobin (V/HC) menunjukkan bahwa sebaran magenta pasien kritis secara signifikan mengarah ke kiri, menunjukkan bahwa RET dengan HC yang rendah (konsentrasi hemoglobin) meningkat secara signifikan, yang bisa mewakili pola unik hiperplasia eritroid pada pasien COVID-19 yang kritis (Gambar 6A)[7]. Walaupun demikian, penyelidikan lebih lanjut dibutuhkan untuk menentukan apakah RET HC yang rendah tersebut bisa menjadi penanda diagnostik COVID-19 yang kritis[7].

gln22-s6-2

Gambar 6. Perbedaan hasil diagram sebaran RET pada pasien dengan tingkat keparahan COVID-19 yang berbeda.Data ditampilkan sebagai rerata ± SD. ****, P<0.0001; ***, P<0.001; **, P<0.01; *, P<0.05. FS, sebaran depan; SS, sebaran samping; FL, fluoresensi; HC, konsentrasi hemoglobin; VOL, volume; ns, tidak signifikan.

 

Dengan teknologi yang canggih, parameter hematologi gabungan baru, seperti Lym% & RDW-SD, Lym# & HGB, dan NLR & RDW-SD, telah ditemukan sebagai prediktor pendukung selama prognostik COVID-19. Semakin banyak kovariat yang bisa dipelajari dan dikembangkan pada penganalisis seri Mindray BC-6000. Khusus pada BC-6800Plus, saluran RET bisa mendeteksi jumlah, ukuran, dan konsentrasi hemoglobin dari RBC dan RET menggunakan teknologi sebaran laser yang sangat sensitif. Oleh karena itu, disarankan untuk mulai menggunakan parameter yang ditentukan sendiri untuk prognosis COVID-19 sekarang juga.

Referensi:

[1] Ghahramani, S., Tabrizi, R., Lankarani, K.B. et al. Laboratory features of severe vs. non-severe COVID-19 patients in Asian populations: a systematic review and meta-analysis. Eur J Med Res 25, 30 (2020).

[2] Li, Q., Cao, Y., Chen, L. et al. Hematological features of persons with COVID-19. Leukemia 34, 2163–2172 (2020).
[3] Wang D, Hu B, Hu C, et al. Clinical Characteristics of 138 Hospitalized Patients With 2019 Novel Coronavirus–Infected Pneumonia in Wuhan, China. JAMA. 2020;323(11):1061-1069.
[4] Henry BM, Benoit JL, Benoit S, Pulvino C, Berger BA, Olivera MHS, Crutchfield CA, Lippi G. Red Blood Cell Distribution Width (RDW) Predicts COVID-19 Severity: A Prospective, Observational Study from the Cincinnati SARS-CoV-2 Emergency Department Cohort. Diagnostics (Basel). 2020 Aug 21;10(9):618.
[5] Zhang W, Zhang Z, Ye Y, Luo Y, Pan S, Qi H, Yu Z, Qu J. Lymphocyte percentage and hemoglobin as a joint parameter for the prediction of severe and nonsevere COVID-19: a preliminary study. Ann Transl Med. 2020 Oct;8(19):1231.
[6] Wang C, Deng R, Gou L, et al. Preliminary study to identify severe from moderate cases of COVID-19 using combined hematology parameters. Ann Transl Med. 2020;8(9):593. doi:10.21037/atm-20-3391.
[7] Wang C, Zhang H, Cao X, et al. Red cell distribution width (RDW): a prognostic indicator of severe COVID-19[J]. Annals of translational medicine, 2020, 8(19).