HemaBook Bölüm 8: COVID-19'da Kırmızı Kan Hücrelerinde Meydana Gelen Değişiklikleri Fark Ettiniz mi?

Mindray 2021-04-25

gln22-s0@pc

26 Ocak 2021 itibariyle, koronavirüs 2019 (COVID-19) pandemisi dünya genelinde 100 milyondan fazla insanı etkiledi. Aşı çalışmaları, gelecekte durumu iyileştirmeye yardımcı olacak. Ancak mevcut durumda, şiddetli hastalık riski en yüksek olan hastaların belirlenmesi önem arz etmektedir. Erken müdahaleyi kolaylaştırmak ve kritik bakım krizlerini hafifletmek yerel hastane kaynaklarını yönetmek amacıyla, doktorlar rutin, düşük maliyetli ve öneri niteliğinde parametreler üzerinde araştırmalar gerçekleştirerek COVID-19'un prognozuna ve şiddetli vakaların belirlenmesine destek sağlamaktadır[1,2,3].

gln22-s2
Şekil 1. Rutin kan testi uygulamaları.

Beyaz kan hücresi sayısı (WBC), nötrofil sayısı, nötrofil/lenfosit oranı (NLR) gibi inflamatuar parametreler COVID-19'un tanısını ve prognozunu destekleyebilir. Peki ya kırmızı kan hücreleri?

 

Gözlemlenen eritrosit sayısı kritik hastalarda değişiklik gösteriyor

Dr. Wang, iyi ve kötü sonuç gruplarından alınan hematoloji sonuçlarını karşılaştırmış ve şiddetli hastaların prognozunun tahmininde en iyi tek parametrenin RDW-SD olduğunu belirlemiştir[4,7].Buna ek olarak, Lenfosit sayısı ve RDW-CV ile Lenfosit sayısı ve RDW-SD parametrelerinin kombinasyonunun şiddetli COVID-19 prognozunun tahmininde daha iyi olduğu sonucuna varılmıştır (Şekil 2)[7].

gln22-s3-1

(A)Hastaların prognozunun tahmininde tek parametre olarak ROC eğrisi. (B)hastaların prognozunun tahmininde birleşik parametreler olarak ROC eğrisi.

gln22-s3-2

(C)Lenfosit sayısı ve RDW-SD için doğrusal olarak uyumlandırılmış şematik dağılım grafiği. (D)farklı prognozlara sahip hastalarda Lenfosit sayısı ve RDW-SD karşılaştırması.

Şekil 2. Şiddetli COVID-19 hastalarının hematoloji parametrelerinin tahmin analizi ve sonuçları. Lenfosit sayısı ve RDW-SD: Lenfosit sayısı ve RDW-SD doğrusal uydurma sonucunda elde edilen birleşik parametre. ****, P<0.0001. 

 

Dr. Zhang, HGB'nin şiddetli grupta orta şiddetli gruba göre daha düşük olduğu sonucuna varmıştır[5]. Yeni birleşik parametre %Lenfosit ve HGB, en iyi hassasiyete ve özgüllüğe sahiptir (Tablo 1). Bu doğrultuda, %Lenfosit ve HGB hastalık prognozunun göstergeleri olarak kullanılabilir.

 

Tablo 1. Üç parametre için alıcı çalışma özellikleri analiz sonuçları

gln22-s3-3

AUC, ROC altında kalan alan; %Lenfosit, lenfosit yüzdesi; HGB, hemoglobin.

 

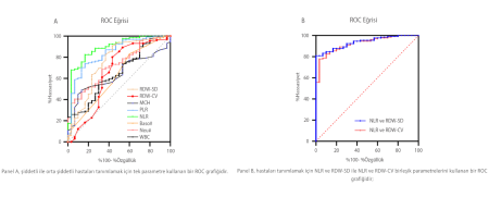
Dr. Wang'ın bir diğer makalesinde[6], NLR, RDW-CV, RDW-SD dahil olmak üzere birçok hematolojik parametrenin hastalık ilerledikçe değiştiği açıklanmaktadır. Doğrusal uyum ile elde edilen NLR ve RDW-SD birleşik parametreleri, daha iyi teşhis verimliliği sağlamıştır (AUC = 0,938) ve bu, tek parametreler arasında en iyisi olmuştur (Şekil 3). Sınır değer 1,046 olduğunda, şiddetli vakaları orta şiddetli COVID-19 vakalarından ayırt etme hassasiyeti %90,0 iken özgüllük %84,7 olmuştur.

gln22-s4-1
gln22-s4-2
gln22-s4-3-1

Şekil 3. Şiddetli COVID-19 vakalarının tanısında tek ve birleşik parametreler kullanılan ROC analizi. "*" önemli sapmaya işaret eder.

Kritik hastalarda bu eritrosit değişiklikleri neden meydana geldi?

RET'deki artışın RDW'nin yükselmesine katkıda bulunabileceği bulunmuştur (Şekil 4). Hastalık ilerledikçe, MFR ve HFR ile birlikte RDW-SD de artmıştır. Periferik kandaki artmış RET, anizositozda bir artışa neden olabilmektedir.

gln22-s5
Şekil 4. Kritik COVID-19 vakalarında RET dağılım grafiğinin dinamik olarak izlenmesi. RET dağılım grafiği Mindray BC-6800Plus'tan alınmıştır.
gln22-s5-1

Hematoloji analizöründe bu eritrosit değişikliklerini nasıl gözlemleyebiliriz?

9 kareli dağılım grafiğine baktığımızda, RBC hacmi/hemoglobin konsantrasyonu (V/HC) dağılım grafiği, kritik hastaların eflatun renkteki dağılımlarının önemli ölçüde sola eğimli olduğunu göstermiş, bu da düşük HC'li (hemoglobin konsantrasyonu) RET'lerin önemli ölçüde arttığına işaret etmiştir; bu, kritik COVID-19 hastalarında benzersiz bir eritroid hiperplazisi paternini temsil edebilir (Şekil 6A)[7]. Bununla birlikte, bu gibi düşük HC'li RET'lerin kritik COVID-19'un tanısal bir belirteci olup olamayacağı konusunda daha fazla araştırma yapılması gerekliliği devam etmektedir[7].

gln22-s6-2

Şekil 6. COVID-19 şiddeti farklı olan hastalarda, RET dağılım grafiği sonuçlarında farklılıklar görülür.Veriler, ortalama ± SD olarak gösterilir. ****, P<0.0001; ***, P<0.001; **, P<0.01; *, P<0.05. FS, ileri dağılım; SS, yan dağılım; FL, floresans; HC, hemoglobin konsantrasyonu; VOL, hacim; ns, anlamlı değil.

 

Gelişmiş teknolojilerle birlikte, %Lenfosit ve RDW-SD, Lenfosit sayısı ve HGB ile NLR ve RDW-SD gibi yeni birleşik hematolojik parametrelerin COVID-19 prognostiğinde destekleyici prediktörler olduğu bulunmuştur. Mindray BC-6000 serisi analizörlerde çok daha fazla eş değişken incelenebilir ve geliştirilebilir. Özellikle BC-6800Plus'ta, RET kanalı son derece hassas lazer dağılım teknolojisinden yararlanarak RBC'lerin ve RET'lerin sayısını, boyutunu ve hemoglobin konsantrasyonunu tespit edebilir. Bu nedenle, COVID-19 prognozu için kendi belirlediğiniz parametreleri hemen kullanmaya başlamanız önerilir.

Referanslar:

[1] Ghahramani, S., Tabrizi, R., Lankarani, K.B. et al. Laboratory features of severe vs. non-severe COVID-19 patients in Asian populations: a systematic review and meta-analysis. Eur J Med Res 25, 30 (2020).
[2] Li, Q., Cao, Y., Chen, L. et al. Hematological features of persons with COVID-19. Leukemia 34, 2163–2172 (2020).
[3] Wang D, Hu B, Hu C, et al. Clinical Characteristics of 138 Hospitalized Patients With 2019 Novel Coronavirus–Infected Pneumonia in Wuhan, China. JAMA. 2020;323(11):1061–1069.
[4] Henry BM, Benoit JL, Benoit S, Pulvino C, Berger BA, Olivera MHS, Crutchfield CA, Lippi G. Red Blood Cell Distribution Width (RDW) Predicts COVID-19 Severity: A Prospective, Observational Study from the Cincinnati SARS-CoV-2 Emergency Department Cohort. Diagnostics (Basel). 2020 Aug 21;10(9):618.
[5] Zhang W, Zhang Z, Ye Y, Luo Y, Pan S, Qi H, Yu Z, Qu J. Lymphocyte percentage and hemoglobin as a joint parameter for the prediction of severe and nonsevere COVID-19: a preliminary study. Ann Transl Med. 2020 Oct;8(19):1231.
[6] Wang C, Deng R, Gou L, et al. Preliminary study to identify severe from moderate cases of COVID-19 using combined hematology parameters. Ann Transl Med. 2020;8(9):593. doi:10.21037/atm-20-3391.
[7] Wang C, Zhang H, Cao X, et al. Red cell distribution width (RDW): a prognostic indicator of severe COVID-19[J]. Annals of translational medicine, 2020, 8(19).