HemaBook hoofdstuk 8: Heeft u de veranderingen van rode bloedcellen opgemerkt bij COVID-19?

Mindray 2021-04-25

gln22-s0@pc

Sinds 26 januari 2021 heeft de coronapandemie (COVID-19) meer dan 100 miljoen mensen wereldwijd getroffen. Vaccinatie kan de situatie in de toekomst helpen verbeteren. Op dit moment is het echter belangrijk om patiënten met het hoogste risico op ernstig ziek worden te identificeren. Om vroegtijdige interventie mogelijk te maken en lokale ziekenhuismiddelen te beheren om de crises in de kritieke zorg te verzachten, doen artsen onderzoek naar routinematige, goedkope en suggestieve parameters om te helpen bij de COVID-19-prognose en de identificatie van ernstige gevallen[1,2,3].

gln22-s2
Afbeelding 1. Toepassingen van routinebloedonderzoeken.

Ontstekingsparameters, zoals het aantal witte bloedcellen (WBC), het aantal neutrofielen en de neutrofielen-tot-lymfocytenverhouding (NLR) zouden de diagnose en prognose van COVID-19 kunnen ondersteunen. Hoe zit het met rode bloedcellen?

 

Waargenomen veranderingen in erytrocyten bij ernstig zieke patiënten

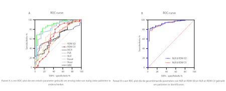
Dr. Wang vergeleek hematologische resultaten van de goede en slechte uitkomstgroepen en ontdekte dat de beste enkele parameter voor het voorspellen van de prognose van ernstige patiënten RDW-SD is[4,7]. Bovendien zijn de gecombineerde parameters Lym# & RDW-CV en Lym# & RDW-SD beter voor het voorspellen van de prognose van ernstige COVID-19 (afbeelding 2)[7].

gln22-s3-1

(A)ROC-curve, de enige parameter voor het voorspellen van de prognose van zieke patiënten. (B)ROC-curve, gezamenlijke parameters voor het voorspellen van de prognose van zieke patiënten.

gln22-s3-2

(C)het lineair aangepaste schematische spreidingsdiagram voor Lym# & RDW-SD. (D)vergelijking van Lym# & RDW-SD bij zieke patiënten met verschillende prognoses.

Afbeelding 2. Voorspellingsanalyse van hematologische parameters en de resultaten van patiënten met ernstige COVID-19. Lym# & RDW-SD: gezamenlijke parameter gegenereerd na lineaire aanpassing van Lym# en RDW-SD.P<0.0001.

 

Dr. Zhang heeft geconstateerd dat HGB lager is in de enrstig zieke groep dan in de matig zieke groep[5].Nieuwe gezamenlijke parameters Lym% & HGB hebben de beste sensitiviteit en specificiteit (tabel 1). Lym% & HGB kunnen dus worden gebruikt als indicatoren voor ziekteprognose.

 

Tabel 1. Resultaten van de analyse van de ROC, Receiver Operating Characteristic, voor de drie parameters

gln22-s3-3

AUC, gebied onder het ROC; Lym%, percentage lymfocyten; HGB, hemoglobine.

 

Een ander artikel van Dr. Wang[6] beschreef dat veel hematologische parameters veranderden naarmate de ziekte vorderde, waaronder NLR, RDW-CV, RDW-SD. De gecombineerde parameters van NLR en RDW-SD, zoals gegenereerd door lineaire aanpassing, hadden de betere diagnostische efficiëntie (AUC = 0,938), de beste van de afzonderlijke parameters (afbeelding 3). Wanneer de drempelwaarde 1,046 was, was de gevoeligheid voor het onderscheiden van de ernstige gevallen van de matige gevallen van COVID-19 90,0%, terwijl de specificiteit 84,7% was.

gln22-s4-1
gln22-s4-2
gln22-s4-3-1

Afbeelding 3. ROC-analyse met behulp van enkele en gecombineerde parameters bij de diagnose van ernstige gevallen van COVID-19.

Waarom hebben deze veranderingen in erytrocyten plaatsgevonden bij kritiek zieke patiënten?

Gebleken is dat de toename van RET kan bijdragen aan een verhoogde RDW (afbeelding 4). Naarmate de ziekte vorderde, namen MFR en HFR toe, evenals RDW-SD. De verhoogde RET in perifeer bloed kan een toename van anisocytose veroorzaken.

gln22-s5
Afbeelding 4. Dynamische monitoring van RET-spreidingsdiagram in kritieke COVID-19-gevallen. Het RET-spreidingsdiagram is van Mindray BC-6800Plus.
gln22-s5-1

Hoe kunnen we deze erytrocytveranderingen waarnemen in de hematologieanalysator?

Als we kijken naar het 9-hoekige spreidingsdiaram, liet het spreidingsdiagram voor RBC-volume/hemoglobineconcentratie (V/HC) zien dat de magentakleurige spreidingen van kritische patiënten zich significant aan de linkerzijde bevonden, wat aangeeft dat RET's met een lage HC (hemoglobineconcentratie) significant toenamen. Dit vertegenwoordigt mogelijk een uniek patroon van erytroïde hyperplasie bij kritieke COVID-19-patiënten (afbeelding 6A)[7].Of dergelijke lage HC RET's een diagnostische marker kunnen zijn van kritische COVID-19, moet echter nog verder worden onderzocht[7].

gln22-s6-2

Afbeelding 6. Verschillen in het RET-spreidingsdiagram resulteren in patiënten met verschillende ernst van COVID-19. Gegevens worden weergegeven als de gemiddelde ± SD. ****, P<0.0001; ***, P<0.001; **, P<0.01; *, P<0.05. FS, voorwaartse spreiding; SS, zijwaartse spreiding; FL,fluorescentie; HC, hemoglobineconcentratie; VOL, volume; ns, niet significant.

 

Met geavanceerde technologieën werden de nieuw gecombineerde hematologische parameters, zoals Lym% & RDW-SD, Lym# & HGB en NLR & RDW-SD, gevonden als ondersteunende voorspellers tijdens COVID-19 prognostiek. Er kunnen steeds meer covariaten worden bestudeerd en ontwikkeld met de analysators uit de Mindray BC-6000-serie. Vooral op de BC-6800Plus kan het RET-kanaal het aantal, de grootte en de hemoglobineconcentratie van RBC's en RET's detecteren met behulp van zeer gevoelige laserverstrooiingstechnologie. Daarom wordt aanbevolen om nu zelfgedefinieerde parameters voor de COVID-19-prognose te gaan gebruiken.

Referenties:

[1] Ghahramani, S., Tabrizi, R., Lankarani, K.B. et al. Laboratory features of severe vs. non-severe COVID-19 patients in Asian populations: a systematic review and meta-analysis. Eur J Med Res 25, 30 (2020).
[2] Li, Q., Cao, Y., Chen, L. et al. Hematological features of persons with COVID-19. Leukemia 34, 2163–2172 (2020).
[3] Wang D, Hu B, Hu C, et al. Clinical Characteristics of 138 Hospitalized Patients With 2019 Novel Coronavirus–Infected Pneumonia in Wuhan, China. JAMA. 2020;323(11):1061–1069.
[4] Henry BM, Benoit JL, Benoit S, Pulvino C, Berger BA, Olivera MHS, Crutchfield CA, Lippi G. Red Blood Cell Distribution Width (RDW) Predicts COVID-19 Severity: A Prospective, Observational Study from the Cincinnati SARS-CoV-2 Emergency Department Cohort. Diagnostics (Basel). 2020 21 augustus; 10 (9): 618.
[5] Zhang W, Zhang Z, Ye Y, Luo Y, Pan S, Qi H, Yu Z, Qu J. Lymphocyte percentage and hemoglobin as a joint parameter for the prediction of severe and nonsevere COVID-19: a preliminary study. Ann Transl Med. oktober 2020; 8(19):1231.
[6] Wang C, Deng R, Gou L, et al. Preliminary study to identify severe from moderate cases of COVID-19 using combined hematology parameters. Ann Transl Med. 2020;8(9):593. doi:10.21037/atm-20-3391.
[7] Wang C, Zhang H, Cao X, et al. Red cell distribution width (RDW): a prognostic indicator of severe COVID-19[J]. Annals of translational medicine, 2020, 8(19).