Hemabook Chapter 21: Are you aware of the biological patterns of hematological parameters during childhood?

2024-02-23

biological-patterns-hematological-childhood-kv-pc

Hematological parameters vary significantly throughout growth and development. Particularly, changes in bone metabolism and the hepatobiliary system during infancy and puberty result in significant age- and sex-dependent variability in these parameters. Clinically, pediatric reference intervals are used to classify and interpret samples with intra- and inter-individual variation, which helps greatly in making more informed clinical decisions.

 

The Canadian Laboratory Initiative on Pediatric Reference Intervals (CALIPER) has established age- and sex-specific pediatric reference intervals for hematological parameters available on the Mindray BC-6800Plus system in the CALIPER cohort of healthy children and adolescents aged 30 days to 18 years. These data are expected to enhance the accuracy of clinical decision-making in pediatric clinical laboratoriesnthat utilize BC-6800Plus.

CALIPER

CALIPER is a nation-wide health initiative to improve the diagnosis and monitoring of children and adolescents with medical concerns. By establishing a comprehensive database of reference intervals for blood test results in this population, CALIPER aims to fill the current gap hindering the accuracy of blood test interpretation, with the ultimate goal of providing better care for children at SickKids and other children's hospitals around the world. Since 2009, CALIPER has made great progresses, including:

  • Recruited +13,000 healthy children and adolescents from schools and other community centers;
  • Established pediatric reference intervals for +200 laboratory biomarkers of health and disease;
  • Published +85 peer-reviewed papers in high-impact journals to share methods and data worldwide;
  • Created an online database and mobile application for free access to CALIPER reference intervals.

Offcial website: https://caliperproject.ca/

biological-patterns-hematological-childhood-fig1-pc

This study reveals statistically significant age-specific differences in 52 out of the 79 hematological parameters, requiring age partitioning. An additional 11 parameters including RBC count, HGB, HCT, MCV, MCHC, RDW-CV, HDW, macrocyte count, Macro%, RBC count (optical), and RPI indicated sex-specific differences, particularly during the pubertal period (i.e., 14 to <19 years).

Erythrocytes

RBC count, HGB and HCT displayed considerable variability during the first year of life (30 days to <1 year) and remained relatively stable from 1 year to <14 years. However, during the pubertal period, sex-specific differences were observed in most erythrocyte parameters, with the exception of NRBC count and percentage, RDW-SD, Micro%, and MCH.

biological-patterns-hematological-childhood-fig2-pc
Figure 1. Age- and sex-specific reference value distributions in the CALIPER cohort of healthy children and adolescents for (A) red blood cell (RBC) count, (B) hemoglobin (HGB), (C) hematocrit (HCT), (D) mean corpuscular volume (MCV), (E) mean corpuscular hemoglobin (MCH), and (F) mean corpuscular hemoglobin concentration (MCHC).

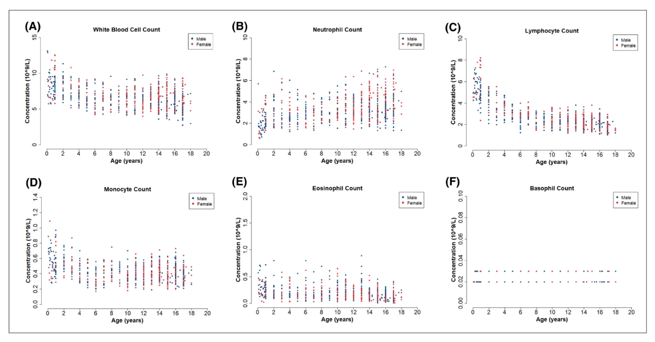
Leukocytes

Analysis of the distribution of reference values for the main leukocyte parameters (Figure 2) showed the following trends: (1) WBC, monocyte and lymphocyte counts decreased with age, (2) neutrophil count increased with age, and (3) basophil count remained consistent with age.

biological-patterns-hematological-childhood-fig3-pc
Figure 2. Age- and sex-specific reference value distributions in the CALIPER cohort of healthy children and adolescents for (A) white blood cell (WBC) count, (B) neutrophil count (Neu#), (C) lymphocyte count (Lym#), (D) monocyte count (Mon#), (E) eosinophil count (Eos#), and (F) basophil count (Bas#).

Platelets

Platelet counts, as measured by both optical and impedance methods, as well as PCT showed a consistent decrease throughout the age range of children. In contrast, MPV and P-LCR increased from age range of 5 - 19 years old in comparison to early childhood.

biological-patterns-hematological-childhood-fig4-pc
Figure 3. Age- and sex-specific reference value distributions in the CALIPER cohort of healthy children and adolescents for (A) platelet count (PLT), (B) mean platelet volume (MPV), (C) platelet distribution width (PDW), (D) plateletcrit (PCT), (E) platelet large cell count (P-LCC), and (F) platelet large cell ratio (P-LCR).

Comparison with other analytical systems

Quantitative values in the CALIPER cohort were found to be are reproducible, indicating considerable concordance between analytical systems and good performance.

 

The data suggests remarkable concordance between common hematological systems.

biological-patterns-hematological-childhood-fig5-pc
Figure 4. S10 Reference value distributions were remarkably similar across analytical systems.

This study is the first to illustrate health-associated pediatric concentration profiles for novel research parameters on the BC-6800Plus system. The establishment of reference ranges has greatly enhanced our understanding of the complex changes in blood parameters during childhood and adolescence. This study also extends the utility of the CALIPER database to promote the performance of the BC-6800Plus system in the diagnosis of pediatric hematological disorders.

biological-patterns-hematological-childhood-fig6-pc

To read the full study, please click the link: https://onlinelibrary.wiley.com/doi/10.1111/ijlh.14068

References

Bohn MK, Wilson S, Steele S, Adeli K. Comprehensive pediatric reference intervals for 79 hematology markers in the CALIPER cohort of healthy children and adolescents using the Mindray BC-6800Plus system. Int J Lab Hematology. 2023 Mar 29.

false